Transformations liées à des réactions acide-base
Chimie - Série d’exercices corrigés : les Transformations associées à des réactions acido-basiques 2bac BIOF, Sciences physiques mathématiques et SVT.
Exercice 1 : l’essentiel du cours - réaction acide - base
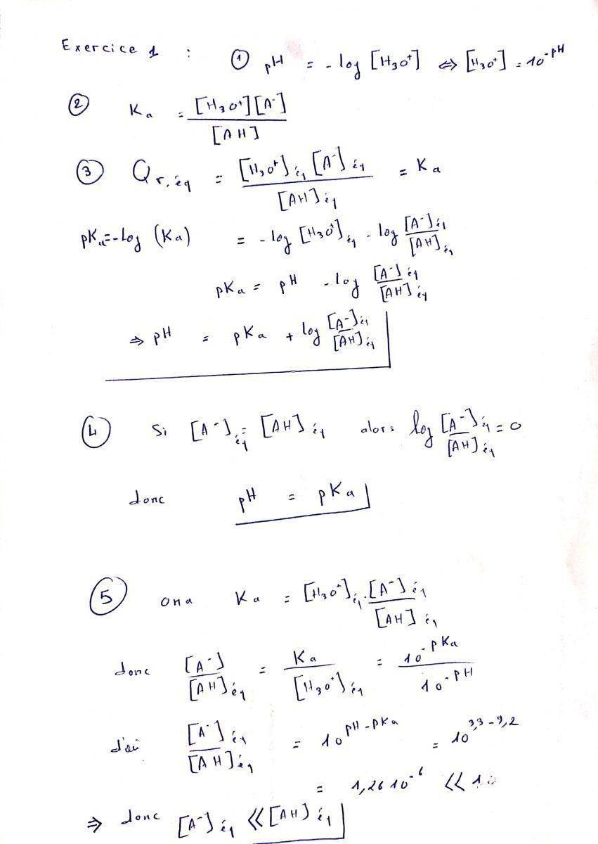
1. Donner la relation entre pH et la concentration des ions $[H_{3}O^{+}]$ .
2. Donner l’expression de la constante d’acidité ka associée au couple acido basique $AH/A^{-}$.
On considère la réaction acido-basique (1) : $$AH_{(aq)} + H_{2}O_{(l)} ⇄ {H_{3}O^{+}}_{ (aq)} + A^{-}_{ (aq)}$$
3. Ecrire la constante d’équilibre Qr,éq associée à la réaction (1) en fonction de $K_{a}$, En déduire la relation littérale entre pH de la solution, la constante d’acidité $K_{a}$ et les concentrations des ions AH et $A^{-}$.
4. Sachant que $[AH]_{éq} = [A^{-}]_{éq}$ que devient le pH de la solution à l’équilibre.
5. La solution est acide de $pH=3.3$ a une constante d’acidité telle que $pK_{a}=9,2$, lequel des deux espèces est le prédominante ? Justifier.
Corrigé d'exercice 1 :

Exercice 2 : réaction acide - base et constante d'acidité
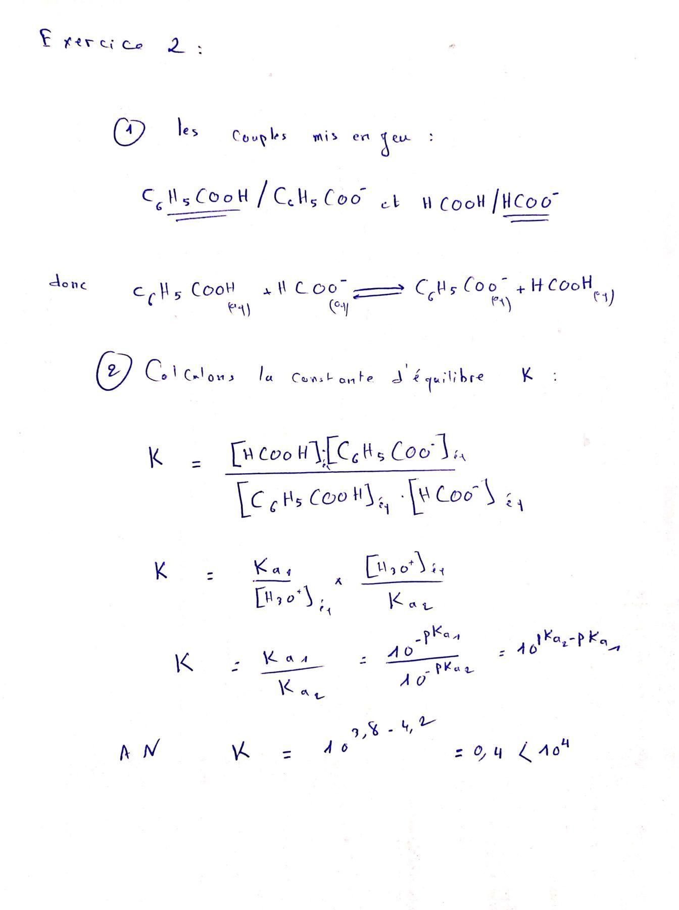
1. Ecrire la réaction acide basique qui se produit entre les deux espèces.
2. Montrer que la réaction n’est pas totale.
Données : $pka_{1}=pka(C_{6}H_{5}COOH/ C_{6}H_{5}COO^{-} ) = 4,2 \quad pka_{2}= pka(HCOOH/ HCOO^{-} )=3,8$ .
L’acide benzoïque : $C_{6}H_{5}COOH$ , L'ion formiate ou méthanoate $HCOO^{-}$.
Corrigé d'exercice 2 :

Exercice 3 : Calcul de la constante d’acidité à partir de la valeur de pH
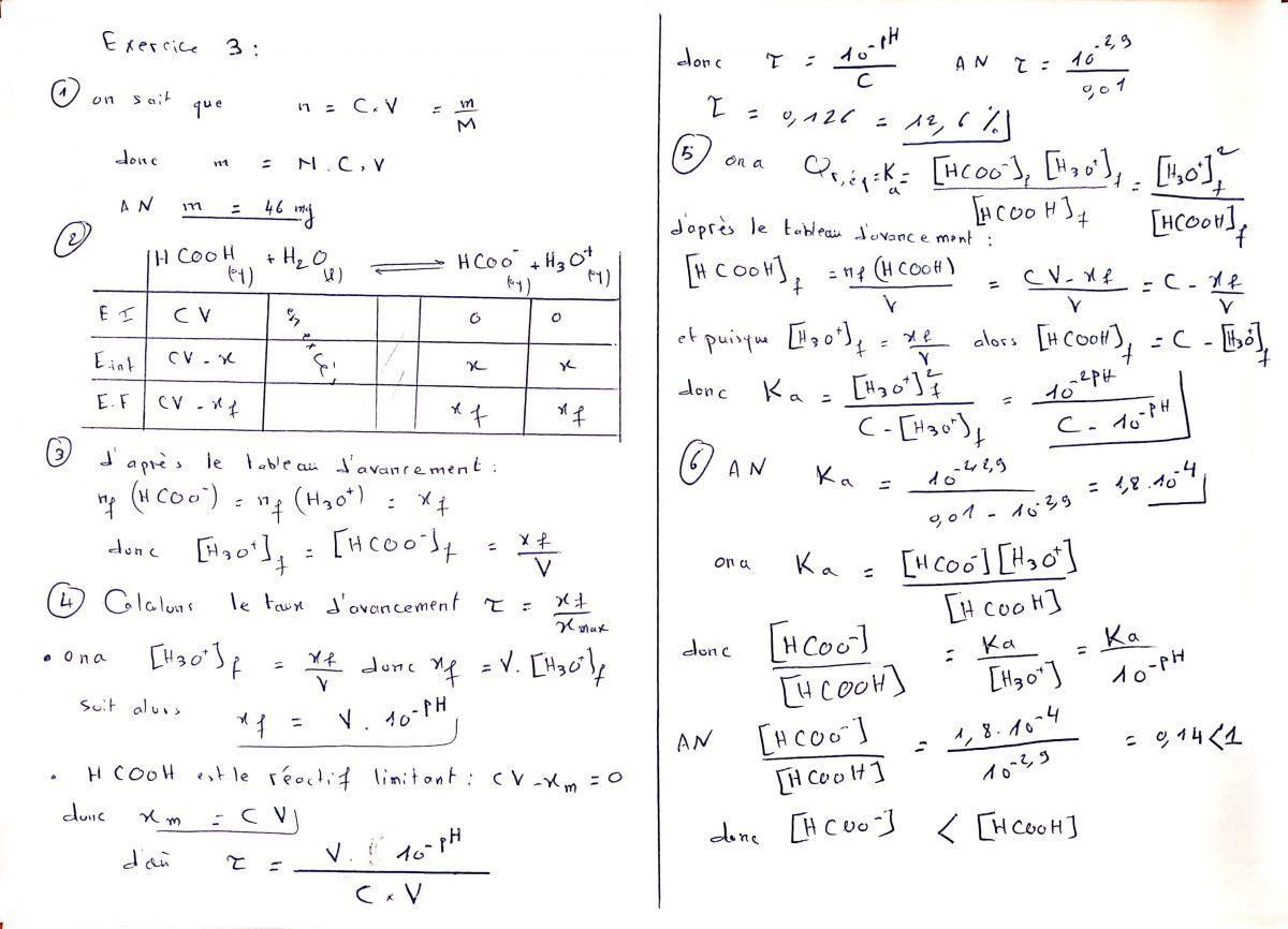
Une solution aqueuse d’acide méthanoïque de concentration C, de volume V=100mL, la mesure du pH de la solution donne pH=2,9.
La solution est obtenue en dissolvant dans l’eau de même volume V une masse m d’acide méthanoïque HCOOH.
1. Déterminer la masse m nécessaire pour avoir une concentration $C=0.01mol/L$.
2. Dresser le tableau d’avancement de la réaction produite entre l’acide méthanoïque et l’eau.
3. Que peut-on dire des concentrations $[H_{3}O^{+}]_{f}$ et $[HCOO^{-} ]_{f}$.
4. Calculer le taux d’avancement de la réaction $\tau$.
5. Montrer que la constante d’acidité est donnée par la relation :$$k_{a}=\frac{10^{-2pH}}{C-10^{-pH}}$$
6. Calculer Ka. En évaluant le quotient $\frac{[HCOO^{-}]}{[HCOOH]}$ , préciser l’espèce acido-basique prédominante dans la solution.
On donne : $M(HCCOH)=46g/mol$
Corrigé d'exercice 3 :

Exercice 4 : taux d’avancement et constante d'acidité
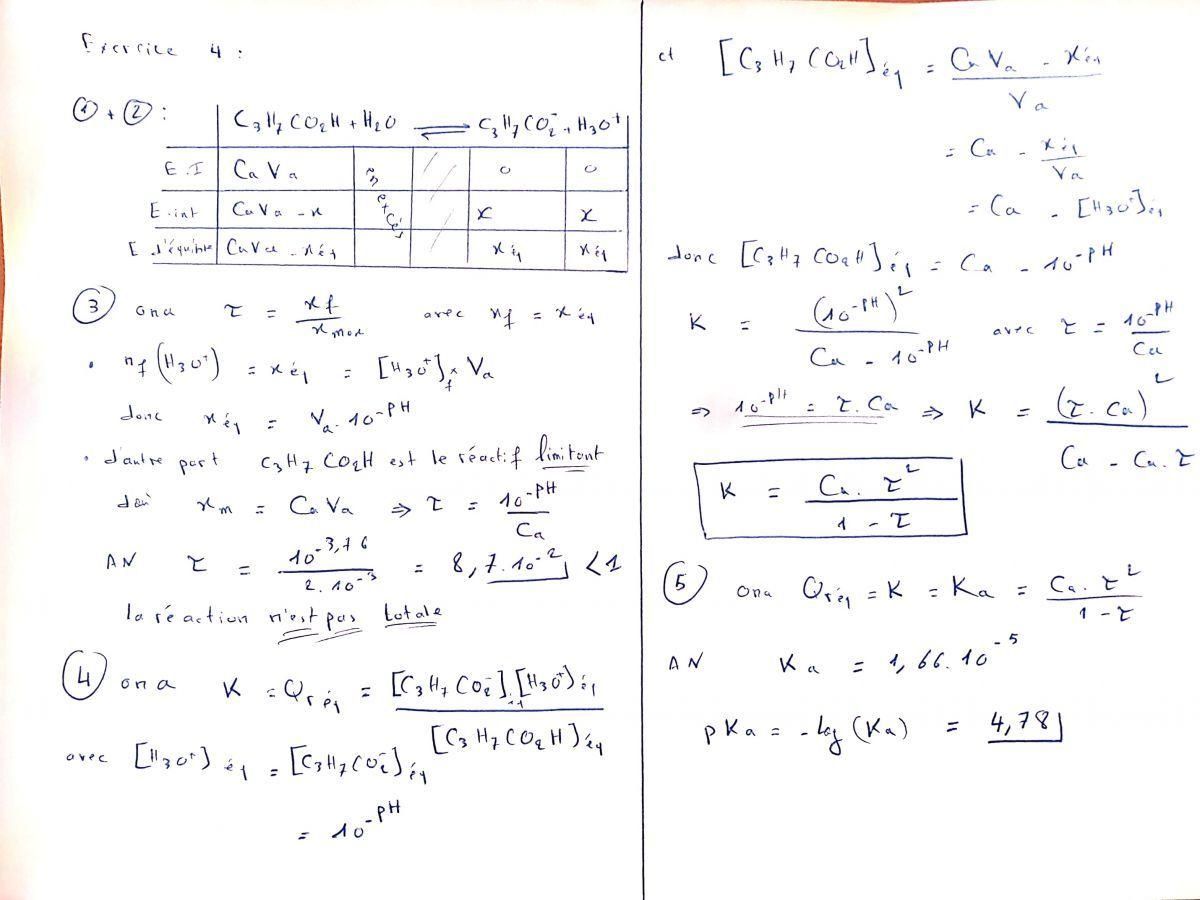
On considère une solution aqueuse (Sa) à 25°C d’acide butanoïque $C_{3}H_{7}CO_{2}H$ de concentration molaire $C_{a}=2,0.10^{-3} mol/L $ de volume $V_{a}=1L$. le pH de la solution mesuré à l‘équilibre est pH= 3,76.
1. Ecrire la réaction acido-basique de l’acide butanoïque et l’eau.
2. Dresser le tableau d’avancement en fonction de $C_{a}$, $V_{a}$, $x$ et l’avancement à l’équilibre $x_{éq}$.
3. Calculer le taux d’avancement final τ de la réaction, Conclure.
4. Etablir la relation entre la constante d’équilibre K associée à la réaction et le taux d’avancement $\tau$.
5. En déduire la valeur de $pKa(C_ {3}H_{7}CO_{2}H_{(aq)}/{C_{3}H_{7}CO_{2}^{-}}_{(aq)} )$.
correction exercice 4
